National Winner - Wiki Science Competition 2025
I participated in the Wiki Science Competition 2025, “an international photo contest for the sciences. It is organised by Wikimedia, which is the movement behind Wikipedia,...
I participated in the Wiki Science Competition 2025, “an international photo contest for the sciences. It is organised by Wikimedia, which is the movement behind Wikipedia,...
On 4th April 2026, I made Jaffa Cakes by baking a Genoise sponge, making a marmalade, coating in chocolate and sprinkling with sea salt.
On 31st March 2026, I made vanilla french toast with an orange-lime drizzle for breakfast.
I prepared Iron(III) Chloride solution using solid iron, hydrochloric acid and hydrogen peroxide. The actual concentration of the solution is yet to be determined.
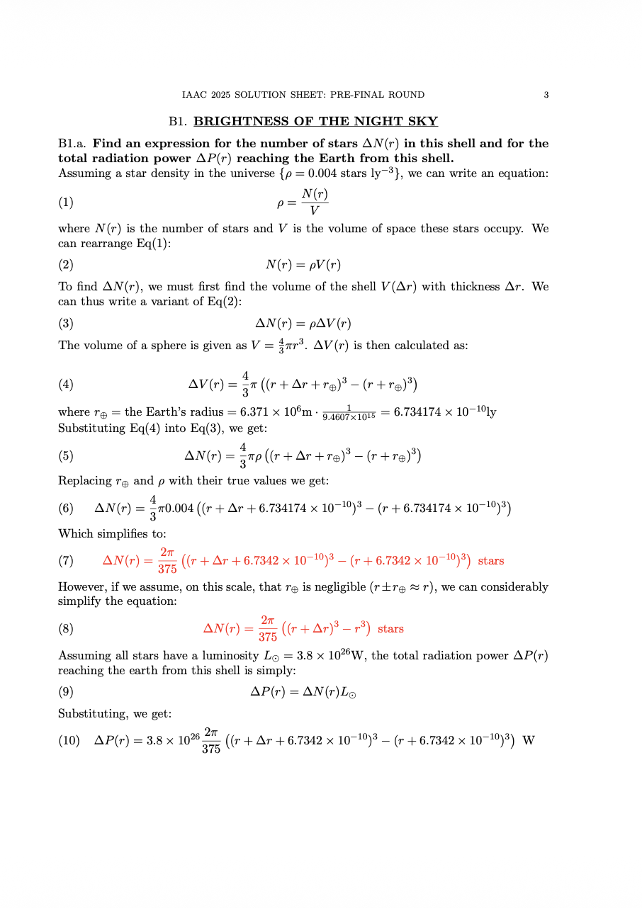
I participated in the International Astronomy & Astrophysics Competition (Edition of 2025), an international competition organised by Edu.Harbour.
Repair of a Martin DJr-10E Streetmaster guitar, the bridge of which was lifting.
I participated in the International Astronomy & Astrophysics Competition (Edition of 2025), an international competition organised by Edu.Harbour. Participating in IAAC was a fun and...
Materials: Water Sugar (granulated) Yeast
In the early days of the pandemic (mid 2020) I did a project on gravity. This led me to research Galileo, Kepler and their telescopes....
After watching Iron Man, I designed and built an Iron Man suit using cardboard, newspaper and LEDs.
A functional weather station (measuring temperature and humidity) was developed using sensors and an Arduino board.
During the pandemic, a drip irrigation system was developed and installed in the balcony, to aid in efficient and easy watering of all the plants....
I plated a copper plate with a zinc plate. The process is still currently going on. The zinc sheet is so thin now it’s breaking...
A spirit lamp was made. Additionally, a distillation setup to be used in combination with the spirit lamp was made.